10/27/2023:
Following a major reduction in the use of antibiotics, attention has now turned to the responsible use of antibiotics. An important research field in this sense is pharmacology, otherwise known as the study of drugs. There is always basic information available on the pharmacokinetics and pharmacodynamics of each registered veterinary medical product. However, this information may be limited and very little is known about the differences between chickens within a poultry flock. GD research into the pharmacokinetics of a number of commonly administered antibiotic veterinary products and the differences in concentrations in the blood of individual chickens within a poultry flock provides a great deal of valuable information.
Doxycycline
One of the drugs used in the poultry sector is doxycycline. Doxycycline is a broad-spectrum antibiotic of the tetracycline class, which means it is effective against various pathogens. It was discovered in 1948. This medication has a bacteriostatic effect, i.e. it is mainly effective against reproducing (growing) bacteria. It inhibits the production of proteins in a broad spectrum of bacteria and even in a number of other types of pathogens.
Tetracyclines (including doxycycline) are the first choice of medication according to the Dutch veterinary antibiotics policy. This means that no specific resistance developing effect is known for this drug, and is therefore preferable to second-choice and third-choice drugs. In the case of second-choice and third-choice medications, these must not be administered unless the situation complies with a number of conditions (such as no effective first-choice medication available). Moreover, third-choice drugs are classified as critical to human health and considerable restraint must therefore be exercised in their administration. Doxycycline is one of the most commonly administered first-choice drugs in broilers. It is a relatively ‘old’ drug, having been registered for veterinary use in the 1960s. The studies conducted to determine its properties and effectiveness were carried out back in those days, and there is no further (legal) obligation to repeat any research at a later date. There have been limited studies into the pharmacokinetics of drugs such as doxycycline for poultry, and we do not know the influence of various factors which may be present in practice, but generally not under trial conditions. For example, housed as a flock (at a commercial density, number of birds per m2), the presence of litter and various stages/forms of illness in the animal.
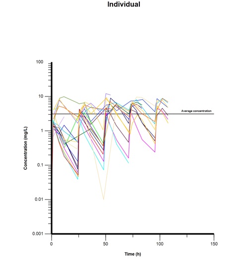
Figure 1

Figure 2

Figure 1 and 2. The concentrations of doxycycline in the blood of broilers while kept in a flock (figure 1) and accommodated individually (figure 2). Each line represents one animal whose blood was tested on multiple occasions.
The study
In collaboration with Utrecht University and Dopharma Research, GD studied the pharmacokinetics of doxycycline in regular broilers, housed under circumstances comparable to the field. A number of the animals were for example brought into contact with illness via challenge with Escherichia coli, the most common bacterial infection treated with antibiotics. In addition, they were housed on litter, whereby the animals came into contact with their own feces, which may contain remnants of antibiotics, which in turn may be absorbed, for example via skin contact or by the orofecal route. The animals were also housed at a commercial density and were administered the antibiotic via their drinking water. Blood samples were collected and the concentration of doxycycline was determined in the laboratory.
The results
The time period above a certain concentration is important for the effectiveness of doxycycline. It is then possible to establish a target based on the susceptibility of the bacterium for the antibiotic, i.e. a level of concentration in the blood which is desirable for optimum effect.
This study showed that there was little individual variation in the concentrations of doxycycline in the chickens’ blood upon treatment of the flock. Such limited variation between the chickens is advantageous, as there are then few outliers. Downward outliers, i.e. a lower concentration, will result in less effectiveness and upward outliers, a higher concentration, will give a greater risk of residue in meat at slaughter, for example. The concentrations did however prove to be lower than was previously expected. By putting the concentrations of antibiotics detected in complex computer models it is possible to make a prediction of the blood concentrations under various circumstances; for example when the dosage schedule is adjusted, or when the animals are ill and certain organs function less well.
From pharmacokinetics to treatment advice
The final objective of the study is to increase the responsible use of antibiotics. One of the aspects is to increase the chance of positive results of treatment. How can I maximise the chance that the treatment used cures the animals?
The following step in this study is to determine whether the results from this trial setup are also seen in the field. The validity of the model can be determined by collecting blood samples from a flock of broilers being treated with doxycycline: if the computer model is proven to give a good prediction of the actual situation, this model can be used for optimisation of the treatment.
Computer models can be used to mimic the effect of changes. The computer can calculate the blood levels if the dose is doubled for example, or can even determine the effect of the illness on the blood levels by using a physiologically based model. Various scenarios can be examined with relatively little animal testing being required.
The results of this study into doxycycline are promising. A similar study into the pharmacokinetics of amoxicillin was conducted in 2022 (funded by AVINED).